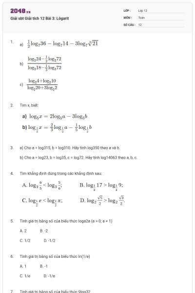
20 câu Trắc nghiệm Logarit có đáp án (Nhận biết)
20 câu hỏi
Logarit cơ số a của b kí hiệu là:
logab
logba
lnab
lnba
Logarit cơ số 2 của 5 được viết là:
log52
2log5
log(25)
log25
Điều kiện để logab có nghĩa là
a<0,b>0
0<a≠1,b<0
0<a≠1,b>0
0<a≠1,0<b≠1
Điều kiện để biểu thức log23-x xác định là
x≤3
x>3
x≥3
x<3
Cho a>0;a≠1,b>0, khi đó nếu logab=N thì
ab=N
logaN=b
aN=b
bN=a
Giá trị của x thỏa mãn log12x=3 là
x=18
x=3
x=16
x=38
Chọn mệnh đề đúng:
loga1=1
logaa=a
loga1=a
logaa=1
Chọn mệnh đề đúng
log21=1
log22=2
log21=2
log22=1
Cho 0<a≠1,b>0. Chọn mệnh đề sai
logaab=b
logaab=ab
alogab=b
alogab=logaab
Với điều kiện các logarit đều có nghĩa, chọn mệnh đề đúng?
logabc=logab+logbc
logabc=logab+logac
logabc=logablogac
logabc=logab+logac
Cho các số a, b, c và a,c≠1. Khẳng định nào sau đây đúng?
logablogac=logbc
logablogac=logabc
logablogac=logcb
logablogac=logab-c
Với điều kiện các biểu thức đều có nghĩa, đẳng thức nào dưới đây không đúng?
logabn=nlogab
logabn=1nlogab
loga1b=-logab
logabn=-nlogab
Cho a là số thực dương khác 1. Mệnh đề nào dưới đây đúng với mọi số dương x, y
logaxy=logax+logay
logaxy=logax-y
logaxy=logax-logay
logaxy=logaxlogay
Chọn công thức đúng
loganb=-nlogab
loganb=1nlogab
loganb=-1nlogab
loganb=nlogab
Với điều kiện các logarit đều có nghĩa, chọn công thức biến đổi đúng:
logab.logbc=logac
logbc=logablogac
logab=logcb-logca
logab+logbc=logac
Nếu a > 1 và b > c > 0 thì:
logab>logac
logab<logac
logab<logbc
logab>logcb
Nếu a > 1 và 0 < b < 1 thì
logab=0
logab>0
logab<0
logab=1
Chọn kết luận đúng
lna=b⇔b=10a
lna=b⇔a=eb
lna=b⇔b=ea
lna=b⇔a=10b
Giá trị của x thỏa mãn lnx=-1 là
x=e
x=-1e
x=1e
x=e
Cho các số thực a<b<0. Mệnh đề nào sau đây là sai?
ln(ab)=lna+lnb
lna2-b3=3lna2-b
lnab=ln(a)-ln(-b)
lnab2=lna2-lnb2
Gợi ý cho bạn
Xem tất cảNgân hàng đề thi






