Trắc Nghiệm Tổng Hợp Vật Lí 11 (Có Đáp Án)
QuizVật lý - Lớp 11
290 Bài trắc nghiệm Từ Trường cực hay có lời giải chi tiết (P2)
41 câu hỏi2 lượt thi
QuizVật lý - Lớp 11
290 Bài trắc nghiệm Từ Trường cực hay có lời giải chi tiết (P1)
40 câu hỏi4 lượt thi
QuizVật lý - Lớp 11
128 Bài trắc nghiệm Khúc xạ ánh sáng cực hay có lời giải chi tiết ( đề số 1)
30 câu hỏi4 lượt thi
QuizVật lý - Lớp 11
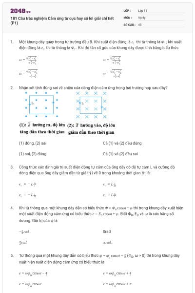
181 Câu trắc nghiệm Cảm ứng từ cực hay có lời giải chi tiết (P1)
45 câu hỏi5 lượt thi
QuizVật lý - Lớp 11
Đề kiểm tra học kì II
29 câu hỏi2 lượt thi
QuizVật lý - Lớp 11
Bài tập cuối chương VII : Mắt và các dụng cụ quang
18 câu hỏi2 lượt thi
QuizVật lý - Lớp 11
Bài 34: Kính thiên văn
10 câu hỏi2 lượt thi
QuizVật lý - Lớp 11
Bài 33: Kính hiển vi
18 câu hỏi2 lượt thi
QuizVật lý - Lớp 11
Bài 32: Kính lúp
24 câu hỏi2 lượt thi
QuizVật lý - Lớp 11
Bài 31: Mắt
20 câu hỏi2 lượt thi
QuizVật lý - Lớp 11
Bài 29: Thấu kính
25 câu hỏi2 lượt thi
QuizVật lý - Lớp 11
Bài 28: Lăng kính
15 câu hỏi2 lượt thi
QuizVật lý - Lớp 11
Bài tập cuối chương VI : Khúc xạ ánh sáng
12 câu hỏi2 lượt thi
QuizVật lý - Lớp 11
Bài 27: Hiện tượng phản xạ toàn phần
12 câu hỏi2 lượt thi
QuizVật lý - Lớp 11
Bài 26: Định luật khúc xạ ánh sáng
20 câu hỏi2 lượt thi
QuizVật lý - Lớp 11
Bài tập cuối chương V : Cảm ứng điện từ
12 câu hỏi2 lượt thi
QuizVật lý - Lớp 11
Bài 25: Tự cảm
16 câu hỏi2 lượt thi
QuizVật lý - Lớp 11
Bài 24: Suất điện động cảm ứng
18 câu hỏi2 lượt thi
QuizVật lý - Lớp 11
Bài 23: Từ thông. Cảm ứng điện từ
16 câu hỏi2 lượt thi
QuizVật lý - Lớp 11
Bài 21 : Bài tập cuối chương IV :Từ trường
14 câu hỏi2 lượt thi
QuizVật lý - Lớp 11
Bài 22: lực Lo-ren-xơ
24 câu hỏi2 lượt thi
QuizVật lý - Lớp 11
Bài 21: Từ trường của dòng điện chạy trong các dây dẫn có hình dạng đặc biệt
20 câu hỏi2 lượt thi
QuizVật lý - Lớp 11
Bài 20: Lực từ. Cảm ứng từ
19 câu hỏi2 lượt thi
QuizVật lý - Lớp 11
Bài 19: Từ trường
21 câu hỏi2 lượt thi























