Vật lý Lớp 12
Đề thiVật lý - Lớp 12
250 Bài tập Sóng cơ trong đề thi thử Đại học có lời giải (trường chuyên - P4)
40 câu hỏi5 lượt thi
Đề thiVật lý - Lớp 12
250 Bài tập Sóng cơ trong đề thi thử Đại học có lời giải (trường chuyên - P3)
40 câu hỏi3 lượt thi
Đề thiVật lý - Lớp 12
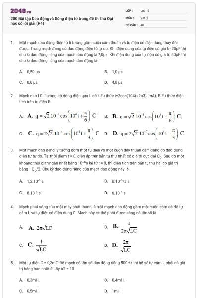
200 Bài tập Dao động và Sóng điện từ trong đề thi thử Đại học có lời giải (P4)
40 câu hỏi5 lượt thi
Đề thiVật lý - Lớp 12
105 Bài tập Dao động và Sóng điện từ trong đề thi thử Đại học (trường chuyên - P4)
25 câu hỏi3 lượt thi
Đề thiVật lý - Lớp 12
615 bài tập Sóng cơ trong đề thi Đại học có lời giải (trường không chuyên - P11)
50 câu hỏi3 lượt thi
Đề thiVật lý - Lớp 12
270 bài tập Dao động và sóng điện từ ôn thi THPT Quốc gia có lời giải (p7)
26 câu hỏi3 lượt thi
Đề thiVật lý - Lớp 12
270 bài tập Dao động và sóng điện từ ôn thi THPT Quốc gia có lời giải (p6)
40 câu hỏi3 lượt thi
Đề thiVật lý - Lớp 12
270 bài tập Dao động và sóng điện từ ôn thi THPT Quốc gia có lời giải (p5)
40 câu hỏi3 lượt thi
Đề thiVật lý - Lớp 12
332 Bài tập Dòng điện xoay chiều trong đề thi thử Đại học có lời giải (P8)
38 câu hỏi3 lượt thi
Đề thiVật lý - Lớp 12
455 Bài tập Dòng điện xoay chiều trong đề thi thử Đại học cực hay, có lời giải (P9)
50 câu hỏi5 lượt thi
Đề thiVật lý - Lớp 12
455 Bài tập Dòng điện xoay chiều trong đề thi thử Đại học cực hay, có lời giải (P8)
50 câu hỏi3 lượt thi
Đề thiVật lý - Lớp 12
270 bài tập Dao động và sóng điện từ ôn thi THPT Quốc gia có lời giải (p4)
40 câu hỏi3 lượt thi
Đề thiVật lý - Lớp 12
200 Bài tập Dao động và Sóng điện từ trong đề thi thử Đại học có lời giải (P3)
40 câu hỏi3 lượt thi
Đề thiVật lý - Lớp 12
400 Bài tập Dòng điện xoay chiều trong đề thi thử Đại học có lời giải (không chuyên - P6)
40 câu hỏi3 lượt thi
Đề thiVật lý - Lớp 12
332 Bài tập Dòng điện xoay chiều trong đề thi thử Đại học có lời giải (P7)
40 câu hỏi3 lượt thi
Đề thiVật lý - Lớp 12
105 Bài tập Dao động và Sóng điện từ trong đề thi thử Đại học (trường chuyên - P3)
25 câu hỏi3 lượt thi
Đề thiVật lý - Lớp 12
105 Bài tập Dao động và Sóng điện từ trong đề thi thử Đại học (trường chuyên - P2)
25 câu hỏi3 lượt thi
Đề thiVật lý - Lớp 12
235 Bài tập Dòng điện xoay chiều trong đề thi thử Đại học có lời giải (trường chuyên - P5)
40 câu hỏi3 lượt thi
Đề thiVật lý - Lớp 12
277 câu trắc nghiệm Dòng điện xoay chiều trong đề thi thử Đại học có lời giải (P5)
40 câu hỏi3 lượt thi
Đề thiVật lý - Lớp 12
1300 bài tập Dap động điều hòa trong đề thi thử Đại học có lời giải (P28)
40 câu hỏi4 lượt thi
Đề thiVật lý - Lớp 12
235 Bài tập Dòng điện xoay chiều trong đề thi thử Đại học có lời giải (trường chuyên - P4)
40 câu hỏi5 lượt thi
Đề thiVật lý - Lớp 12
270 bài tập Dao động và sóng điện từ ôn thi THPT Quốc gia có lời giải (P3)
40 câu hỏi3 lượt thi























