Ôn tập Vật Lý 11 Chương 4
Đề thiVật lý - Lớp 11
5 câu Trắc nghiệm Ôn tập chương 4: Từ trường có đáp án (Vận dụng cao)
5 câu hỏi38 lượt thi
Đề thiVật lý - Lớp 11
17 câu Trắc nghiệm Ôn tập chương 4: Từ trường có đáp án (Thông hiểu)
17 câu hỏi39 lượt thi
Đề thiVật lý - Lớp 11
11 câu Trắc nghiệm Ôn tập chương 4: Từ trường có đáp án (Nhận biết)
11 câu hỏi29 lượt thi
Đề thiVật lý - Lớp 11
10 câu Trắc nghiệm Chuyển động của hạt mang điện trong từ trường đều có đáp án (Thông hiểu)
10 câu hỏi31 lượt thi
Đề thiVật lý - Lớp 11
7 câu Trắc nghiệm Khung dây đặt trong từ trường đều có đáp án (Vận dụng cao)
7 câu hỏi37 lượt thi
Đề thiVật lý - Lớp 11
13 câu Trắc nghiệm Khung dây đặt trong từ trường đều có đáp án (Nhận biết)
13 câu hỏi34 lượt thi
Đề thiVật lý - Lớp 11
9 câu Trắc nghiệm Tương tác giữa hai dòng điện song song có đáp án (Thông hiểu)
9 câu hỏi29 lượt thi
Đề thiVật lý - Lớp 11
12 câu Trắc nghiệm Tương tác giữa hai dòng điện song song có đáp án (Nhận biết)
12 câu hỏi29 lượt thi
Đề thiVật lý - Lớp 11
15 Bài tập trắc nghiệm Ôn tập Chương 4 Vật Lí 11 cực hay có đáp án
15 câu hỏi25 lượt thi
Đề thiVật lý - Lớp 11
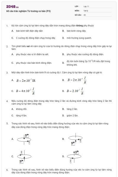
60 câu trắc nghiệm Từ trường cơ bản (P3)
20 câu hỏi25 lượt thi
Đề thiVật lý - Lớp 11
60 câu trắc nghiệm Từ trường cơ bản (P2)
20 câu hỏi18 lượt thi
Đề thiVật lý - Lớp 11
60 câu trắc nghiệm Từ trường cơ bản (P1)
20 câu hỏi21 lượt thi
Đề thiVật lý - Lớp 11
50 câu trắc nghiệm Từ trường nâng cao (P2)
25 câu hỏi25 lượt thi
Đề thiVật lý - Lớp 11
50 câu trắc nghiệm Từ trường nâng cao (P1)
25 câu hỏi32 lượt thi













