Vật lý Lớp 11
Đề thiVật lý - Lớp 11
11 câu Trắc nghiệm Lực Lorenxơ có đáp án (Nhận biết)
11 câu hỏi51 lượt thi
Đề thiVật lý - Lớp 11
7 câu Trắc nghiệm Khung dây đặt trong từ trường đều có đáp án (Vận dụng cao)
7 câu hỏi38 lượt thi
Đề thiVật lý - Lớp 11
13 câu Trắc nghiệm Khung dây đặt trong từ trường đều có đáp án (Nhận biết)
13 câu hỏi35 lượt thi
Đề thiVật lý - Lớp 11
9 câu Trắc nghiệm Tương tác giữa hai dòng điện song song có đáp án (Thông hiểu)
9 câu hỏi30 lượt thi
Đề thiVật lý - Lớp 11
18 câu Trắc nghiệm Bài tập về tụ điện có đáp án (Thông hiểu)
18 câu hỏi47 lượt thi
Đề thiVật lý - Lớp 11
18 câu Trắc nghiệm Bài tập về tụ điện có đáp án (Nhận biết)
18 câu hỏi33 lượt thi
Đề thiVật lý - Lớp 11
8 câu Trắc nghiệm Bài tập chuyển động của điện tích trong điện trường có đáp án (Vận dụng cao)
8 câu hỏi50 lượt thi
Đề thiVật lý - Lớp 11
3 câu Trắc nghiệm Bài tập chuyển động của điện tích trong điện trường có đáp án (Thông hiểu)
3 câu hỏi59 lượt thi
Đề thiVật lý - Lớp 11
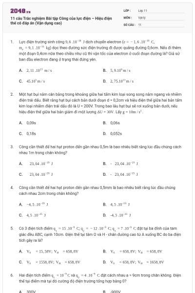
11 câu Trắc nghiệm Bài tập Công của lực điện – Hiệu điện thế có đáp án (Vận dụng cao)
11 câu hỏi42 lượt thi
Đề thiVật lý - Lớp 11
10 câu Trắc nghiệm Bài tập Công của lực điện – Hiệu điện thế có đáp án (Thông hiểu)
10 câu hỏi33 lượt thi
Đề thiVật lý - Lớp 11
11 câu Trắc nghiệm Bài tập Công của lực điện – Hiệu điện thế có đáp án (Nhận biết)
11 câu hỏi37 lượt thi
Đề thiVật lý - Lớp 11
6 câu Trắc nghiệm Ôn tập chương 1: Điện trường - Điện trường có đáp án (Vận dụng cao)
6 câu hỏi45 lượt thi
Đề thiVật lý - Lớp 11
5 câu Trắc nghiệm Ôn tập chương 1: Điện trường - Điện trường có đáp án (Thông hiểu)
5 câu hỏi47 lượt thi
Đề thiVật lý - Lớp 11
Trắc nghiệm Ôn tập chương 1: Điện trường - Điện trường có đáp án (Nhận biết)
12 câu hỏi40 lượt thi
Đề thiVật lý - Lớp 11
3 câu Trắc nghiệm Bài tập chuyển động của điện tích trong điện trường có đáp án (Nhận biết)
3 câu hỏi39 lượt thi
Đề thiVật lý - Lớp 11
7 câu Trắc nghiệm Công của lực điện – Hiệu điện thế có đáp án (Thông hiểu)
7 câu hỏi35 lượt thi
Đề thiVật lý - Lớp 11
20 câu Trắc nghiệm Công của lực điện – Hiệu điện thế có đáp án (Nhận biết)
20 câu hỏi35 lượt thi
Đề thiVật lý - Lớp 11
12 câu Trắc nghiệm Tương tác giữa hai dòng điện song song có đáp án (Nhận biết)
12 câu hỏi30 lượt thi
Đề thiVật lý - Lớp 11
18 câu Trắc nghiệm Bài tập điện trường có đáp án (Vận dụng cao)
18 câu hỏi43 lượt thi
Đề thiVật lý - Lớp 11
11 câu Trắc nghiệm Bài tập từ trường của dòng điện trong các dây dẫn có hình dạng đặc biệt (Vận dụng cao)
11 câu hỏi29 lượt thi
Đề thiVật lý - Lớp 11
13 câu Trắc nghiệm Bài tập định luật Culông có đáp án (Phần 2) (Vận dụng cao)
13 câu hỏi37 lượt thi
Đề thiVật lý - Lớp 11
7 câu Trắc nghiệm Bài tập định luật Culông có đáp án (Phần 2) (Thông hiểu)
7 câu hỏi38 lượt thi
Đề thiVật lý - Lớp 11
11 câu Trắc nghiệm Tụ điện có đáp án (Thông hiểu)
11 câu hỏi39 lượt thi
Đề thiVật lý - Lớp 11
13 câu Trắc nghiệm Tụ điện có đáp án (Nhận biết)
13 câu hỏi37 lượt thi























