Lớp
Lớp 6Lớp 7Lớp 8Lớp 9Lớp 10Lớp 11Lớp 12Tốt nghiệp THPTMôn
- Vật lý
- (2025 mới) 13 Đề ôn thi Tốt nghiệp THPT Vật lí
- 50 Đề ôn thi Tốt nghiệp THPT Vật lí năm 2025
- 46 Đề thi thử Tốt nghiệp THPT Vật lí năm 2025
- 1000 câu lí thuyết Vật lí trọng tâm ôn thi Tốt nghiệp 2025
- 17 Đề tổng ôn Vật lí thi Tốt nghiệp THPT năm 2025
- 500+ bài tập tổng ôn Vật lí thi Tốt nghiệp (theo chủ đề)
- Bài tập ôn thi Tốt nghiệp Vật lí năm 2024 (theo chủ đề)
- 19 Đề thi thử Tốt nghiệp THPT Vật lí năm 2024
- 20 Đề ôn thi Tốt nghiệp THPT Vật lí năm 2024
- 136 Đề thi thử Tốt nghiệp THPT Vật lí năm 2023
- 5 Đề thi THPT Quốc gia môn Vật lí năm 2022
- 1133 đề thi thử THPT Quốc gia môn Vật lí các năm trước
1133 đề thi thử THPT Quốc gia môn Vật lí các năm trước
QuizVật lý - Tốt nghiệp THPT
Đề thi thử thpt quốc gia môn Vật Lí cực hay có lời giải chi tiết (P22)
40 câu hỏi12 lượt thi
QuizVật lý - Tốt nghiệp THPT
Đề thi thử THPT Quốc Gia năm 2019 môn Vật Lý (Đề số 21)
40 câu hỏi7 lượt thi
QuizVật lý - Tốt nghiệp THPT
ĐỀ THI CHÍNH THỨC MÔN VẬT LÍ NĂM 2019 CÓ LỜI GIẢI (MÃ 213)
40 câu hỏi5 lượt thi
QuizVật lý - Tốt nghiệp THPT
ĐỀ THI CHÍNH THỨC MÔN VẬT LÍ NĂM 2019 CÓ LỜI GIẢI (MÃ 206)
40 câu hỏi5 lượt thi
QuizVật lý - Tốt nghiệp THPT
30 Đề luyện thi thpt quốc gia môn Vật Lí cực hay có lời giải chi tiết (Đề số 4)
40 câu hỏi6 lượt thi
QuizVật lý - Tốt nghiệp THPT
30 Đề luyện thi thpt quốc gia môn Vật Lí cực hay có lời giải chi tiết (Đề số 3)
40 câu hỏi4 lượt thi
QuizVật lý - Tốt nghiệp THPT
Tổng hợp đề thi thử thpt quốc gia môn Vật lí năm 2019 ( đề số 11)
40 câu hỏi5 lượt thi
QuizVật lý - Tốt nghiệp THPT
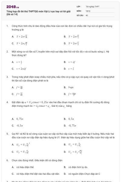
Tổng hợp đề thi thử THPTQG môn Vật Lí cực hay có lời giải (Đề số 14)
40 câu hỏi4 lượt thi
QuizVật lý - Tốt nghiệp THPT
30 Đề luyện thi thpt quốc gia môn Vật Lí cực hay có lời giải chi tiết (Đề số 2)
40 câu hỏi4 lượt thi
QuizVật lý - Tốt nghiệp THPT
ĐỀ THI THỬ THPTQG NĂM 2019 MÔN VẬT LÝ (ĐỀ 10)
40 câu hỏi4 lượt thi
QuizVật lý - Tốt nghiệp THPT
30 Đề thi thử thpt quốc gia môn Vật Lí 2020 cực hay nói lời giải chi tiết (Đề số 07)
40 câu hỏi4 lượt thi
QuizVật lý - Tốt nghiệp THPT
Tổng hợp đề thi thử THPT Quốc Gia môn Vật Lí năm 2020 (Đề 16)
40 câu hỏi4 lượt thi
QuizVật lý - Tốt nghiệp THPT
Tổng hợp đề thi thử THPT Quốc Gia môn Vật Lí năm 2020 (Đề 15)
40 câu hỏi5 lượt thi
QuizVật lý - Tốt nghiệp THPT
Tổng hợp đề thi thử THPT Quốc Gia môn Vật Lí năm 2020 (Đề 14)
45 câu hỏi5 lượt thi
QuizVật lý - Tốt nghiệp THPT
Tổng hợp đề thi thử THPT Quốc Gia môn Vật Lí năm 2020 (Đề 13)
40 câu hỏi4 lượt thi
QuizVật lý - Tốt nghiệp THPT
Tổng hợp đề thi thử THPT Quốc Gia môn Vật Lí năm 2020 (Đề 12)
40 câu hỏi4 lượt thi
QuizVật lý - Tốt nghiệp THPT
Tổng hợp đề thi thử THPT Quốc Gia môn Vật Lí năm 2020 (Đề 11)
40 câu hỏi4 lượt thi
QuizVật lý - Tốt nghiệp THPT
30 Đề thi thử thpt quốc gia môn Vật Lí 2020 cực hay nói lời giải chi tiết (Đề số 06)
40 câu hỏi4 lượt thi
QuizVật lý - Tốt nghiệp THPT
Đề thi thử Vật Lý 2019 cực hay chuẩn cấu trúc của Bộ (Đề số 24)
40 câu hỏi5 lượt thi
QuizVật lý - Tốt nghiệp THPT
Tổng hợp đề thi thử thpt quốc gia môn Vật lí năm 2019( đề số 10)
40 câu hỏi5 lượt thi
QuizVật lý - Tốt nghiệp THPT
Đề thi thử Vật Lý 2019 cực hay chuẩn cấu trúc của Bộ (Đề số 23)
40 câu hỏi5 lượt thi
QuizVật lý - Tốt nghiệp THPT
20 Đề thi thử thpt quốc gia môn Vật Lí cực hay mới nhất (đề 19)
40 câu hỏi5 lượt thi























