Quiz
9 câu Trắc nghiệm Toán 8 Bài 4: Quy đồng mẫu thức nhiều phân thức có đáp án (Nhận biết)
V
VietJackToánLớp 87 lượt thi9 câu hỏi
1. Trắc nghiệm
• 1 điểm • Không giới hạn
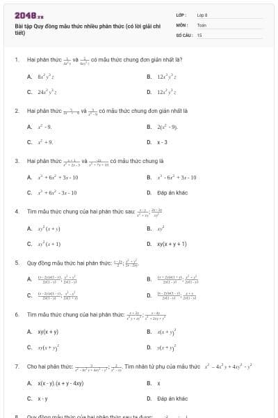
Mẫu thức chung của các phân thức là?
x(x2 - 1)
x(x - 1)2
x2 - 1
x(x - 1)
Xem đáp án
2. Trắc nghiệm
• 1 điểm • Không giới hạn
Mẫu thức chung của các phân thức là?
12x2y3
12x2y4
6x3y2
12x4y
Xem đáp án
3. Trắc nghiệm
• 1 điểm • Không giới hạn
Đa thức nào sau đây là mẫu thức chung của các phân thức ?
(x - y)2
x - y
3(x - y)2
4(x - y)3
Xem đáp án
4. Trắc nghiệm
• 1 điểm • Không giới hạn
Đa thức nào sau đây là mẫu thức chung của các phân thức ?
(x + 3)3
3(x + 3)2
3(x + 3)3
(x + 3)4
Xem đáp án
5. Trắc nghiệm
• 1 điểm • Không giới hạn
Hai phân thức có mẫu thức chung đơn giản nhất là
Xem đáp án
6. Trắc nghiệm
• 1 điểm • Không giới hạn
Hai phân thức có mẫu thức chung đơn giản nhất là:
x-3
Xem đáp án
7. Trắc nghiệm
• 1 điểm • Không giới hạn
Mẫu thức chung của hai phân thức và là
xy(x+y)
Xem đáp án
8. Trắc nghiệm
• 1 điểm • Không giới hạn
Cho hai phân thức . Tìm nhân tử phụ của mẫu thức
1
x + y
x + 2y
x
Xem đáp án
9. Trắc nghiệm
• 1 điểm • Không giới hạn
Cho hai phân thức . Nhân tử phụ của mẫu thức là:
x(x-y)(x+y-4xy)
x
x-y
Đáp án khác
Xem đáp án




