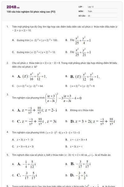
15 câu Trắc nghiệm Ôn tập chương 4 có đáp án (Thông hiểu)
15 câu hỏi
Số phức z có mô đun r = 3 và acgumen thì có dạng lượng giác là:
Phần thực của số phức z thỏa mãn là:
-6
-3
2
-1
Điểm biểu diễn của số phức z là M(1;2). Tọa độ của điểm biểu diễn số phức là:
(2; -3)
(2; 1)
(-1; 6)
(2; 3)
Gọi lần lượt là hai nghiệm của phương trình với có phần ảo dương. Giá trị của biểu thức bằng
-9 + 4i
-10 + 10i
-5
10
Tổng phần thực và phần ảo của số phức z thỏa mãn bằng:
2
-2
6
-6
Phương trình bậc hai nào sau đây có nghiệm là 1+ 2i?
Có bao nhiêu số phức z thỏa mãn
4
3
2
1
Các nghiệm là nghiệm của phương trình nào sau đây?
Cho số phức z có acgumen là . Tìm một acgumen của số phức
Giả sử là hai nghiệm phức của phương trình và A, B là các điểm biểu diễn của . Tọa độ trung điểm của đoạn thẳng AB là:
(0;1)
(0;-1)
(1;1)
(1;0)
Cho số phức . Chọn 1 acgumen của z:
Có bao nhiêu số phức z thỏa mãn đồng thời các điều kiện |z| = 5,
1
2
3
4
Gọi là 1 acgumen của số phức z có điểm biểu diễn là nằm trên đường tròn đơn vị, số đo nào sau đây có thể là một acgumen của z?
Trong mặt phẳng tọa độ Oxy, tập hợp các điểm biểu diễn số phức z thỏa mãn z(1 + i) là số thực là:
Đường tròn bán kính bằng 1.
Trục Ox.
Đường thẳng y = - x.
Đường thẳng y = x.
Cho số phức z có dạng lượng giác là z = . Dạng đại số của z là:
z = 4
z = -i
z = 4i
z = -4i








