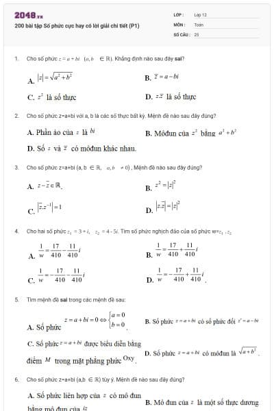
Trắc nghiệm Toán 12: Chủ đề 9. Một số ứng dụng của số phức có đáp án
22 câu hỏi
Giải hệ phương trình với nghiệm là số thực:
.
Giải hệ phương trình trong tập số thực:
.
Giải hệ phương trình với nghiệm với :
.
Giải hệ phương trình với nghiệm với :
.
Giải hệ phương trình:
.
Giải hệ phương trình: 
Chứng minh rằng:
a) ![]()
Hãy biểu diễn tan5x qua tanx
Cho a, b, c là các số thực thỏa mãn sina + sinb + sinc = 0 và cosa + cosb + cosc = 0
Chứng minh rằng:
sin2a + sin2b + sin2c = 0 và cos2a + cos2b + cos2c = 0
Giải phương trình ![]()
Cho a,b,c là các số thực thỏa mãn điều kiện
cosa + cosb + cosc = sina + sinb + sinc = 0
Chứng minh rằng:
a) ![]()
![]()
Chứng minh rằng: ![]()
Giả sử và là nghiệm của phương trình
và
. Chứng minh 
Chứng minh rằng với mọi ta luôn có: ![]()
Chứng minh rằng với ta luôn có ![]()
Chứng minh rằng với mọi , ta luôn có :![]()
Chứng minh rằng với ta luôn có![]()
Chứng minh rằng:
Tính tổng ![]()
Tính tổng 
Có tồn tại hay không số nguyên dương n sao cho đa thức ![]()
chia hết cho đa thức x4 - 1
Phân tích các đa thức sau thành nhân tử với hệ số nguyên:
a)
; b) ![]()








