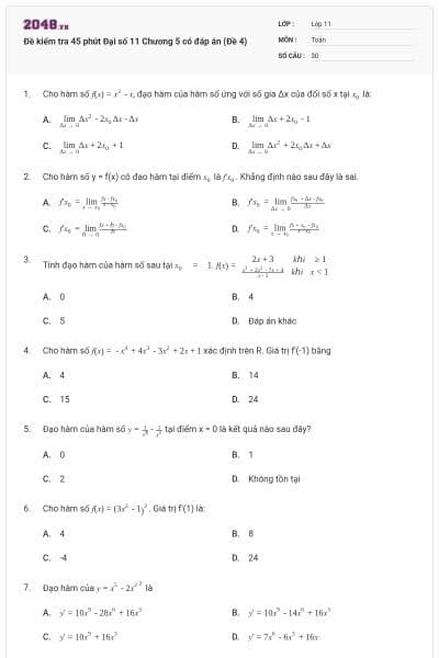
Quiz
Đề kiểm tra 15 phút Hình học 11 Chương 3 có đáp án (Đề 1)
A
AdminToánLớp 113 lượt thi5 câu hỏi
1. Tự luận
• 1 điểm • Không giới hạn
Cho hình lăng trụ ABC.A'B'C', M là trung điểm của BB’. Đặt . Biểu diễn theo các vecto .
Xem đáp án
2. Tự luận
• 1 điểm • Không giới hạn
Trong không gian cho điểm O bất kì và bốn điểm A, B, C, D không thẳng hàng. Chứng minh điều kiện cần và đủ để tứ giác ABCD là hình bình hành là:
Xem đáp án
3. Tự luận
• 1 điểm • Không giới hạn
Cho hình chóp S.ABCD có đáy ABCD là hình bình hành. Đặt . Chứng minh: .
Xem đáp án
4. Tự luận
• 1 điểm • Không giới hạn
Cho hình lập phương ABCD.EFGH có cạnh bằng a. Tính
Xem đáp án
5. Tự luận
• 1 điểm • Không giới hạn
Cho tứ diện ABCD. Trên các cạnh AD và BC lần lượt lấy M, N sao cho AM = 3MD; BN = 3NC. Gọi P, Q lần lượt là trung điểm của AD và BC. Chứng minh các vectơ đồng phẳng.
Xem đáp án








