10 câu Trắc nghiệm Toán 9 Bài 2: Hệ phương trình bậc nhất hai ẩn có đáp án (Nhận biết)
10 câu hỏi
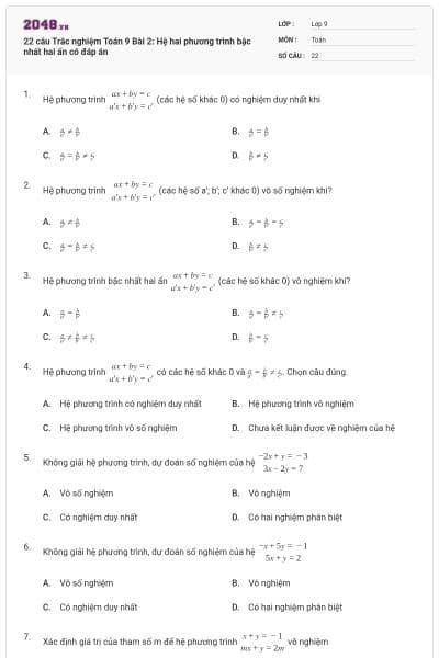
Hệ phương trình có nghiệm duy nhất khi
Hệ phương trình (các hệ số a’; b’; c’ khác 0) vô số nghiệm khi?
Hệ phương trình bậc nhất hai ẩn (các hệ số khác 0) vô nghiệm khi?
Hệ phương trình có các hệ số khác 0 và . Chọn câu đúng
Hệ phương trình có nghiệm duy nhất
Hệ phương trình vô nghiệm
Hệ phương trình vô số nghiệm
Chưa kết luận được về nghiệm của hệ
Không giải hệ phương trình, dự đoán số nghiệm của hệ
Vô số nghiệm
Vô nghiệm
Có nghiệm duy nhất
Có hai nghiệm phân biệt
Không giải hệ phương trình, dự đoán số nghiệm của hệ
Vô số nghiệm
Vô nghiệm
Có nghiệm duy nhất
Có hai nghiệm phân biệt
Không giải hệ phương trình, dự đoán số nghiệm của hệ
Vô số nghiệm
Vô nghiệm
Có nghiệm duy nhất
Có hai nghiệm phân biệt
Cho hệ phương trình . Hệ phương trình nào trong các hệ sau tương đương với hệ phương trình đã cho
Cho hai đường thẳng (d): và (d’) . Khi đó ta có hệ phương trình: (I). Số phát biểu đúng ?
(I). (d) cắt (d’) khi hệ phương trình (I) có nghiệm duy nhất
(II). (d) song song (d’) khi hệ phương trình (I) có vô số nghiệm
(III). (d) trùng với (d’) khi hệ phương trình (I) vô nghiệm
0
1
2
3
Bạn Nga nhận xét: Hai hệ phương trình bậc nhất hai ẩn vô nghiệm thì tương đương với nhau.
Bạn Phương khẳng định: Hai hệ phương trình bậc nhất hai ẩn cùng có vô số nghiệm thì cũng luôn tương đương với nhau.
Nhận xét nào sau đây là đúng?
Bạn Nga sai, Bạn Phương đúng
Bạn Nga đúng, Bạn Phương sai
Cả hai bạn cùng sai
Cả hai bạn cùng đúng




